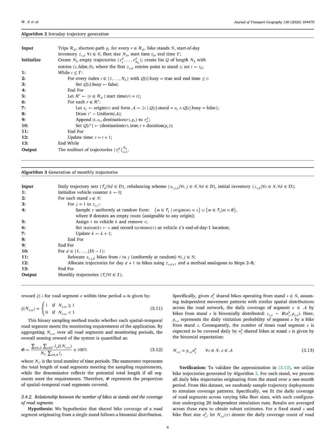
本期为大家推荐的内容为论文《Uncovering the sensing power of shared bikes for urban feature monitoring》(揭示共享单车在城市特征监测中的感知能力),发表在 Journal of Transport Geography 期刊,欢迎大家学习与交流。
智慧城市的建设亟需面向社区级诊断的低成本、高效率感知方案。共享单车系统凭借其独特优势,成为实现城市特征监测的理想移动平台:它能够深入地块内部,扫描城市“毛细血管”;可依托自行车道,获取临街建筑无遮挡的正面视角;其低速行驶特性更有利于捕获稳定、清晰的街景影像,从而显著提升后续AI识别的准确率。在此背景下,本研究首次系统探索将共享单车作为移动感知平台的潜力。针对现有研究多集中于移动传感器采集后的数据分析、却忽视数据获取过程优化的问题,我们提出了一套集成仿真与优化的框架,能够同步实现共享单车车队规模最小化、日常再平衡运营调度,并生成完整的单车轨迹数据。此外,我们开发了传感单车部署优化模型,在给定预算约束下,通过协同决策传感单车的初始分配与每日调度策略进行部署。在曼哈顿的仿真实验表明,相较于随机部署,本研究所提策略能将感知收益提升4%至8%。在以月为监测频率的模式下,仅需100辆共享单车(约占车队总数的1%),即可覆盖81%的路段。在旧金山与成都龙泉驿区进行的迁移性实验表明感知效果在很大程度上受当地骑行模式的影响。本研究为细粒度城市管理提供了一种概念新颖、成本低廉且具备扩展性的感知解决方案。


题目:Uncovering the sensing power of shared bikes for urban feature monitoring
(揭示共享单车在城市特征监测中的感知能力)
作者:Wen Ji, Ke Han, Qi Hao, Qian Ge, Ying Long*
发表刊物:Journal of Transport Geography
DOI:
摘要ABSTRACT
The development of smart cities demands cost-effective sensing solutions for community-level urban diagnostics. Bike-sharing systems could serve as an ideal mobile sensing platform due to their unparalleled ability to access fine-grained urban capillaries at street level, combining both physical and direct observability of built structures. This study represents the first systematic effort to explore the potential of shared bikes as a novel mobile sensing platform. Moving beyond the limitations of existing research, which predominantly focuses on post-collection data analysis while overlooking data acquisition optimization, we propose an integrated simulation-optimization framework, This framework simultaneously minimizes fleet size, optimizes daily rebalancing operations, and generates complete monthly trajectory data. Furthermore, we develop a day-to–day optimization model for deploying sensor-equipped bikes, which co-determines initial allocation and daily dispatch strategies under budget constraints, A simulation-based case study in Manhattan demonstrates that the proposed strategy improves the sensing reward by 4%-8% compared to random deployment, At a monthly interval, only 100 shared bikes (approximately 1% of the fleet) are needed to cover 81% of road segments[ransferability analyses conducted in San Francisco and Longquanyi District, Chengdu, reveal that sensingperformance is largely influenced by local cycling patterns. This research offers a conceptually innovative,low-cost, and scalable sensing solution for fine-grained urban management.









更多内容,请点击微信下方菜单即可查询。
请搜索微信号“Beijingcitylab”关注。

Email:BeijingCityLab@gmail.com
Emaillist: BCL@freelist.org
新浪微博:北京城市实验室BCL
微信号:beijingcitylab
责任编辑:纪文,张业成
原文始发于微信公众号(北京城市实验室BCL):论文推荐 | 揭示共享单车在城市特征监测中的感知能力
规划问道









